分支法思想:分+治+合
上图以 为例
分治法的设计思想是,将一个难以解决的大问题,分割成一些规模较小的相同问题,以便各个击破,分而治之
分治法
- 分治法产生的子问题是原问题较小模式
- 反复应用分治手段,可以使子问题规模不断缩小
- 最终使子问题缩小到很容易求出其解
- 将规模较小问题的答案逐级向上合并,可得大问题的方案
分治法解决问题通常使用递归算法 直接或间接的调用自身的算法为递归算法
递归的概念
递归的算法框架

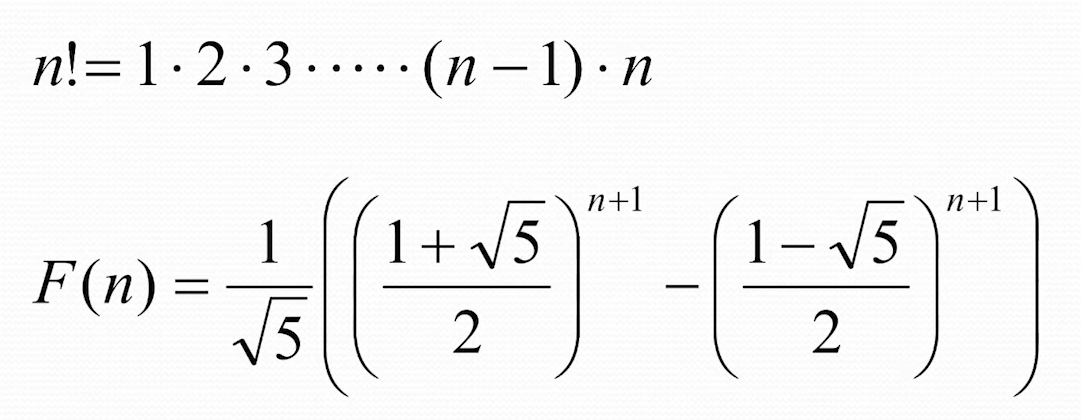
例 1 阶乘函数
阶乘函数可递归定义为:
边界条件与递归方程是递归函数的两个要素 递归函数只有具备了这两个要素,才能在有限次计算后的出结果
可递归的计算如下:
int fact(int n)
{
if (n==0) return 1;
else return n* fact(n-1)
}例 2 斐波那契数列

例 3 Ackerman 函数

前三个是边界情况,第四个是递归
前两例中的函数都可以找到相应的非递归方式定义
Ackerman 函数找不到非递归的定义,只能使用递归函数实现 一个问题有递归和非递归定义,可使用递归或给递归算法实现
例 4 排列问题
设计一个递归算法生成 n 个元素 的全排列 Ps: 全排列是指阶乘的因子, 如 (1,2,3,4)
这里递归的得到数列,从 (n)→(n-1, n)→ (n-2, n-1, n) 依次下去
例 5 汉诺塔问题


算法描述
void hanoi(int n, int a, int b, int c)
/* 把n个盘子从 a柱 移动到 b柱,借助c柱中转 */
{
if(n>0)
{
hanoi(n-1, a, c, b) //把a柱 除了最下面的盘子全都移到c上
move(a, b) //把 a柱最下面的盘子 移到 b柱 , 这样完成了一个盘子的移动
hanoi(n-1, c, b, a) // 剩下的盘子继续递归移动;
}
//n=0时结束
}递归小结
优点: 结构清晰,可读性强,容易用数学归纳法来证明算法的正确性,因此它为设计算法、调试程序带来很大方便
缺点: 递归算法的运行效率较低,无论是耗费的计算时间还是占用的存储空间都比非递归算法要多
建议: 1. 能用递推算法解决,就不要用递归算法 2. 用栈模拟的非递归算法,对运行效率改善有限,不建议使用
分治法的适用条件
分治法能解决的问题一般具有以下几个特征
- 该问题的规模缩小到一定的程度就可以容易的解决
- 该问题可以分解成若干个规模较小的相同问题
- 利用该问题分界处的子问题的结可以合并成该问题的解
- 该问题所分解出的各个子问题是相互独立的
其中 2,3 条表明子问题的最优解和该问题的最优解是一致的,这是最优子结构性质; 第4 条表明,分解出来的子问题是不重复的,共同组成该问题的解,这是无重复子问题
最优子结构性质和无重复子问题是分支法所能解决问题的必备要素
分治法的基本步骤

当问题规模足够小的的时候直接处理,否则把问题划分为多个规模相近的子问题,在逐个解决子问题,最后合并答案
分治法的复杂性分析
分治法将规模为 n 的问题分成 l 个规模为 n/m 的子问题去解
- 设分解阈值 n=1 且 adhoc 解规模为 1 的问题耗费 1 个单位时间
- 设将原问题分解为 k 个子问题以及用 merge 将 k 个子问题的解合并为原问题的解需要用f(n)个单位时间
- 用T(n)表示分治法解规模为|P|=n 的问题所需的计算时间
二分搜索技术
非递减序的 n 个元素 ,现在要在这个元素众找出一特定元素x
分析: 初始用 l、r 分别表示整个数组最左边和最右边的数据索引 一个子问题 ,r<l 是表示没有任何元素,返回-1 - 设在 中找到 x,mid=(l+r)/2 1. 如果 ,则找打 2. 如果 ,继续在 中找 x 即可,即令 r=mid 3. 如果 ,继续在 中找 x 即可,即令 l=mid 子问题的答案就是大问题的答案,满足分支的四个适用条件
算法描述

递归算法时间复杂度分析 时间复杂性的递归方程
利用主定理或递归树可以求其时间复杂性为
非递归算法时间复杂性分析 每执行一个循环,问题规模减半,即使最坏情况下,时间复杂性为
虽然时间复杂度非递归方案和递归方案一样,但是非递归方案效率更高
快速幂算法
给定实数 a 和非负正数 n。用分治法设计求 的快速算法(递归算法)
分析

这里把求 转化成求 的问题,缩小了问题规模,且可以和成该问题的解,见上递归公式,符合使用条件 1,2,3; 且每次递归 ,问题相互独立;满足四个条件
时间复杂性
非递归算法

Strassen 矩阵乘法

传统方法需要 3 层循环遍历两个矩阵中的元素,时间复杂度为

划分之后变成 8 个子问题,每个子问题变成 $\frac{n}{2} * \frac{n}{2
复杂性分析
这里的 f (n) 是 ,是因为 等四个子问题中,还需要进行一次加法
没有改进 (主定理规则 1)
改进

这样 还是 的问题,减少了一次相乘
改进的复杂度分析 ✔较大改进
棋盘覆盖问题
在一个 个方格组成的棋盘之中,恰有一个方格与其他方格不同,成该方格为-特殊方格。且称该棋盘为-特殊棋盘。棋盘覆盖问题中,要用图示的 4 中不同形态的 L 型骨牌覆盖给定的特殊棋盘上除特殊方格以外的所有方格,且任何 2 个 L 型骨牌不得重叠覆盖

思路
当 k>0 是,将 棋盘分割为 4 个 子棋盘(a)所示。特殊方格必位于较小子棋盘之中,其余 3 个子棋盘中无特殊方格。为了将这 3 个无特殊方格的子棋盘转化为特殊棋盘,可以用 L 型骨牌覆盖这 3 个较小棋盘的会合处,如图(b)所示,从而将原问题转化为 4 个较小规模的棋盘覆盖问题。递归的使用这种分割,直到棋盘简化为棋盘

原棋盘分割成 4 个,在三个无特殊方格的棋盘添加一个 L 型骨牌,问题变成了 4 个和原问题相同性质的 4 个子问题
算法描述

其中 tr,tc 是左上角坐标,dr,dc 是特殊方格坐标,size 是棋盘大小, s 是子棋盘大小 四个 if 对应特殊方格在不同子棋盘中的情况
时间复杂性
有主定理规则 1 ,可得时间复杂性
本算法可使用队列或者栈实现非递归算法
拓展
队列实现 队列先入先出
入队:一个大棋盘分为四个子棋盘,将四个子棋盘按序入队
出队:从队列中取出一个棋盘,将其分为四个子棋盘
注意:划分为四个子棋盘时,一个 L 型块被放入到棋盘中
栈实现 栈先入后出
入栈: 大棋盘分为四个子棋盘,将四个子棋盘按序入栈
出栈:从栈顶取出一个棋盘,将其分为 4 个子棋盘
注意划分为四个子棋盘时,一个 L 型块放到棋盘中
总结
- 三种算法的覆盖图案不同
- 如果原始途中的已覆盖方格位置不同,导致覆盖图案也不同
- 如果四个子问题的处理顺序不同,覆盖方案也不同
- 三种算法运行效率比较:栈运行时间最短,队列运行时间最长
合并排序
将待排序元素集合分成大小大致相同的 2 个子集合,分别对 2 个子集合进行排序,最终将排好序的子集合合并成一个有序结合
算法实现(递归)
void MergeSort(Type a[], int left, int left)
{
if (left < right) // 至少两个元素
{
int i=(left+right)/2; //取中点
MergeSort(a, left, i); // 左半部分
MergeSort(a, i+1, right); // 右半部分
merge(a, b, left, i, right); //两个部分排序合并, 放到临时数组b中
copy(a, b, left, right); // 把数组b复制回 数组a
}
}复杂度分析
渐进意义下的最优算法
非递归-归并排序

非递归算法情况下,从最底层两个元素开始归并,变成每两个相邻序列归并,最终合成整个序列
非递归算法复杂性分析 最坏时间复杂度: 平均时间复杂度: 辅助空间: 稳定性:稳定
快速排序
快速排序是对冒泡排序的一种改进方法

其中 Partition 函数按照枢轴元素,把数据放在枢轴元素左右

**快速排序算法的时间复杂型分析
- 快速排序算法的性能取决于划分的对称性 最坏的情况:每次划分成 2 个子问题,一个长度为 0. 另一个长度为 n-1,其对应的递归定义为:
T(n)=\begin{cases} 1 & n=1 \ T(n-1)+n &n>1 \end{cases}
最坏的时间复杂度:$O(n^2)$ 平均时间复杂度:$O(n\log n)$ 稳定性:不稳定 改进:舍伍德算法(第七章) 通过修改算法 partition,可以设计出来采用随机策略的快速排序算法,可以在 $a[p,r]$ 中堆积一个元素作为划分基准,可以期望划分是较对称的 **算法描述** ```cpp template <class Type> int RandomizedPartition(Type a[], int r) { int i = Random(p, r); // 随机一个在p,r之间的索引 Swap(a[i], a[p]); //把随机的元素作为枢轴元素 return Partition(a, p, r); } ``` ## 拓展 ### 常规 Partition 算法(2-way)的缺点  如上图,当序列中重复元素过多时,我们希望如果枢轴元素是重复元素,重复元素不要在出现在子问题中 ### 改进 Partition 算法(3-way)的设计  > 额外返回枢轴元素重复部分的前后索引,方便子问题跳过这一部分数据,这样提高了算法效率 > > 具体算法,需要保证 p,r 之间的元素是枢轴元素,把不是枢轴元素的根据和枢轴元素的大小比较,放到 p 或者 r,随后收紧 p 或 r 的范围 根据 $a[k]$ 与 x 比较结果有三种不同的动作  > 其中 k 是扫描索引,一开始 p,r 作为序列前后端的索引,随着 k 的扫描,p,r 之间逐渐收紧,最后 p, r 之间只有枢轴元素 > 当 k 索引的元素比枢轴元素小的时候,这个数据和 p 交换位置,且 p++, k++ > 当 k 索引的元素比枢轴元素大的时候,这个数据和 r 交换位置,且 r--,k 不变 ### 改进算法的代码  > 其中 p,r 使用引用,这两个数据需要回传 ### 可利用改进 partition 的算法 1. 快速排序 2. 线性时间找第 k 小 | **自己完成** 3. 求众数问题| **自己完成** **快速排序-程序演示**  > 主函数包含 threep 函数的测试,使用时注释掉,并且打开下面快排和打印的两行程序 ### 演示(以快速排序为例) Dev 运行上述代码,略 # 线性时间选择算法 给定线性序集中 n 个元素和一个正数 k, $1\leq k\leq n$,要求找出这 n 个元素中第 k 小的元素 **算法描述** ```cpp template <class Type> Type RandomizedSelect(Type a[], int p, int r, int k) { if (p==r) return a[p]; int i = RandomizedPartition(a, p, r); j = i-p+1; if (k<=j) return RandomizedSelect(a, p, i, k); else return RandomizedSelect(a, i+1, r, k-j) } ``` > 每次使用 partition 算法分组,向着元素所在的分组前进 **时间复杂性** 在最坏情况下,算法 RandomizeSelect 需要 $O(n^2)$ 计算时间。但可以证明,算法 RandomizeSelect 可以在 $O(n)$ 平均时间内找出 n 个输入素元素中第 k 小元素 # 循环赛日程表  > 左上和右下的、右上和左下是相同的,大的表格可以分成两个子问题,同时子问题和问题有相同的性质 **算法描述**  **递归算法复杂性分析** 递归公式:T(n)=2T\left( \frac{n}{2} \right)+ \frac{n^2}{2}
$n^{\log_{b}a}=n^{\log_{2}2}=n, f(n)=O(n^2)$, 满足主定理规则 3 : $T(n)=O(f(n)) = O(n^2)$ **非递归算法** 直接把第一列 1 x 1交叉复制到第二列,再把前两例 2 x 2交叉复制到三四列,依次进行 # 小结 1. 使用分治策略解决问题时,注意检查四个条件是否满足 2. 尽量保证划分出的子问题规模大致一致。平衡子问题思想 3. 如果可以使用递归的方式解决问题,尽量使用递归算法 4. 递归的分治算法的时间复杂性分析,要先写出其时间复杂性的递归方程,然后用主定理或递归树解方程 5. 用递归算法解决问题是,要分析出其边界条件和递归方程(过程)